首页
>
政府信息公开
>
乡镇部门链接
>
部门链接
>
和政县卫生健康局
>
法定主动公开内容
>
综合政务
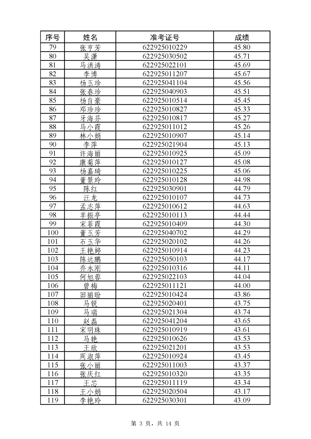
关于和政县2022年公开招聘乡镇卫生院同工同酬医护人员考试成绩的公示
来源:和政县卫生健康局
浏览次数:
次
发布时间:2022-12-07 11:11
字号:
大
中
小
收藏
和政县公开招聘乡镇卫生院“同工同酬”医护人员已完成专业知识测试,并根据测试成绩进行了排名,现予公示。
中共和政县委组织部
和政县人力资源和社会保障局
和政县卫生健康局
2022年12月6日
关闭
打印
纠错